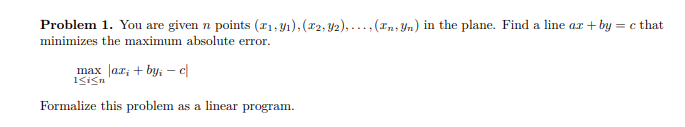
Utilize our extensive solved given n points on a 2d plane. find the maximum number resource library containing countless high-quality images. optimized for both digital and print applications across multiple platforms. providing reliable visual resources for business and academic use. Each solved given n points on a 2d plane. find the maximum number image is carefully selected for superior visual impact and professional quality. Perfect for marketing materials, corporate presentations, advertising campaigns, and professional publications All solved given n points on a 2d plane. find the maximum number images are available in high resolution with professional-grade quality, optimized for both digital and print applications, and include comprehensive metadata for easy organization and usage. Professional photographers and designers trust our solved given n points on a 2d plane. find the maximum number images for their consistent quality and technical excellence. Whether for commercial projects or personal use, our solved given n points on a 2d plane. find the maximum number collection delivers consistent excellence. Multiple resolution options ensure optimal performance across different platforms and applications. Each image in our solved given n points on a 2d plane. find the maximum number gallery undergoes rigorous quality assessment before inclusion. Regular updates keep the solved given n points on a 2d plane. find the maximum number collection current with contemporary trends and styles.













.webp)



















![Solved Answer the following questions [7 Marks] A) Solve the | Chegg.com](https://media.cheggcdn.com/media/3dd/3dd2fedd-4e7a-4681-9b81-5c5eb14eaf02/phpMc5YXy.png)



![Given n points on a 2D plane where points[i] = [xi, yi], Return the ...](https://miro.medium.com/v2/resize:fit:276/0*sAu9tQKWgrnXmaUl.png)

































