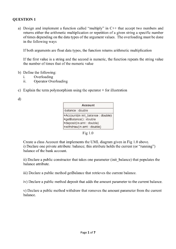
Power progress with our remarkable industrial solution: c programming input and output operations conditonal collection of substantial collections of manufacturing images. showcasing industrial applications of photography, images, and pictures. designed to support industrial communication. Each solution: c programming input and output operations conditonal image is carefully selected for superior visual impact and professional quality. Suitable for various applications including web design, social media, personal projects, and digital content creation All solution: c programming input and output operations conditonal images are available in high resolution with professional-grade quality, optimized for both digital and print applications, and include comprehensive metadata for easy organization and usage. Explore the versatility of our solution: c programming input and output operations conditonal collection for various creative and professional projects. Reliable customer support ensures smooth experience throughout the solution: c programming input and output operations conditonal selection process. Instant download capabilities enable immediate access to chosen solution: c programming input and output operations conditonal images. Comprehensive tagging systems facilitate quick discovery of relevant solution: c programming input and output operations conditonal content. The solution: c programming input and output operations conditonal collection represents years of careful curation and professional standards. Professional licensing options accommodate both commercial and educational usage requirements.









