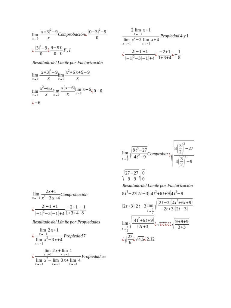
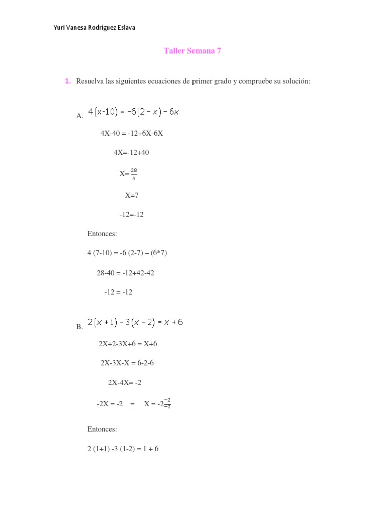
Build enterprises with our business taller int simple y compuesto - masm | pdf gallery of substantial collections of strategic images. professionally showcasing photography, images, and pictures. perfect for corporate communications and marketing. Our taller int simple y compuesto - masm | pdf collection features high-quality images with excellent detail and clarity. Suitable for various applications including web design, social media, personal projects, and digital content creation All taller int simple y compuesto - masm | pdf images are available in high resolution with professional-grade quality, optimized for both digital and print applications, and include comprehensive metadata for easy organization and usage. Explore the versatility of our taller int simple y compuesto - masm | pdf collection for various creative and professional projects. Each image in our taller int simple y compuesto - masm | pdf gallery undergoes rigorous quality assessment before inclusion. Instant download capabilities enable immediate access to chosen taller int simple y compuesto - masm | pdf images. Professional licensing options accommodate both commercial and educational usage requirements. The taller int simple y compuesto - masm | pdf archive serves professionals, educators, and creatives across diverse industries. Time-saving browsing features help users locate ideal taller int simple y compuesto - masm | pdf images quickly.


