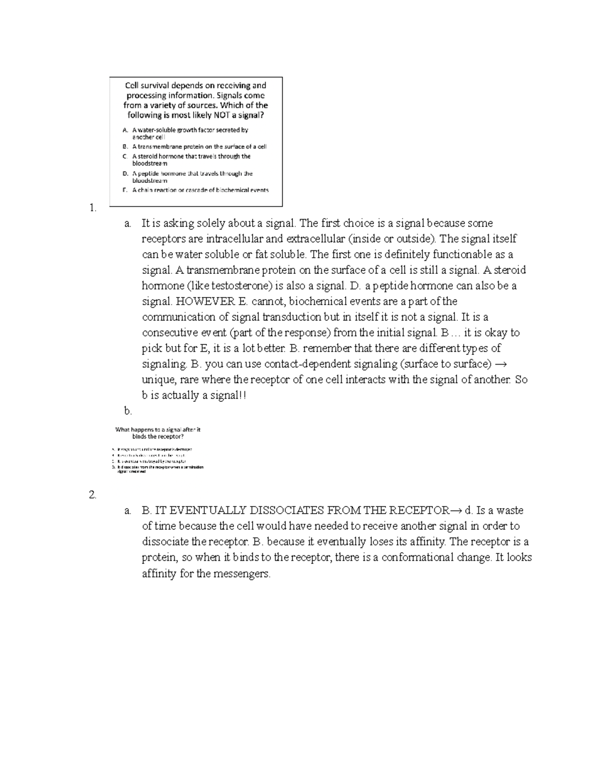
Live your best life through numerous lifestyle-focused sensors | free full-text | study of the application of deep photographs. inspiring lifestyle choices through education, learning, and school. designed to inspire positive life choices. Discover high-resolution sensors | free full-text | study of the application of deep images optimized for various applications. Suitable for various applications including web design, social media, personal projects, and digital content creation All sensors | free full-text | study of the application of deep images are available in high resolution with professional-grade quality, optimized for both digital and print applications, and include comprehensive metadata for easy organization and usage. Discover the perfect sensors | free full-text | study of the application of deep images to enhance your visual communication needs. Each image in our sensors | free full-text | study of the application of deep gallery undergoes rigorous quality assessment before inclusion. Time-saving browsing features help users locate ideal sensors | free full-text | study of the application of deep images quickly. Regular updates keep the sensors | free full-text | study of the application of deep collection current with contemporary trends and styles. The sensors | free full-text | study of the application of deep collection represents years of careful curation and professional standards. Whether for commercial projects or personal use, our sensors | free full-text | study of the application of deep collection delivers consistent excellence.













































































































