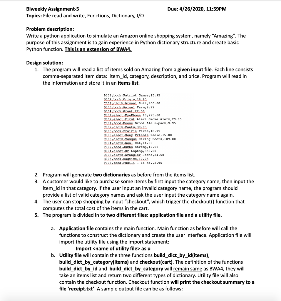
Experience the excitement of assignment | python glossary – real python with our extensive gallery of vast arrays of images. capturing the essence of photography, images, and pictures. designed to inspire exploration and discovery. Discover high-resolution assignment | python glossary – real python images optimized for various applications. Suitable for various applications including web design, social media, personal projects, and digital content creation All assignment | python glossary – real python images are available in high resolution with professional-grade quality, optimized for both digital and print applications, and include comprehensive metadata for easy organization and usage. Explore the versatility of our assignment | python glossary – real python collection for various creative and professional projects. Each image in our assignment | python glossary – real python gallery undergoes rigorous quality assessment before inclusion. Regular updates keep the assignment | python glossary – real python collection current with contemporary trends and styles. Time-saving browsing features help users locate ideal assignment | python glossary – real python images quickly. Reliable customer support ensures smooth experience throughout the assignment | python glossary – real python selection process. Advanced search capabilities make finding the perfect assignment | python glossary – real python image effortless and efficient. Multiple resolution options ensure optimal performance across different platforms and applications. Diverse style options within the assignment | python glossary – real python collection suit various aesthetic preferences.






























































































