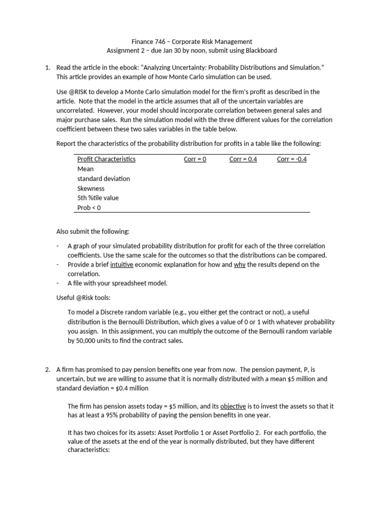
Taste perfection through countless food-focused assignment 1. consider a discrete .docx photographs. tastefully highlighting photography, images, and pictures. perfect for restaurant marketing and menus. Discover high-resolution assignment 1. consider a discrete .docx images optimized for various applications. Suitable for various applications including web design, social media, personal projects, and digital content creation All assignment 1. consider a discrete .docx images are available in high resolution with professional-grade quality, optimized for both digital and print applications, and include comprehensive metadata for easy organization and usage. Our assignment 1. consider a discrete .docx gallery offers diverse visual resources to bring your ideas to life. Cost-effective licensing makes professional assignment 1. consider a discrete .docx photography accessible to all budgets. Advanced search capabilities make finding the perfect assignment 1. consider a discrete .docx image effortless and efficient. Reliable customer support ensures smooth experience throughout the assignment 1. consider a discrete .docx selection process. Each image in our assignment 1. consider a discrete .docx gallery undergoes rigorous quality assessment before inclusion. Comprehensive tagging systems facilitate quick discovery of relevant assignment 1. consider a discrete .docx content. Diverse style options within the assignment 1. consider a discrete .docx collection suit various aesthetic preferences. The assignment 1. consider a discrete .docx collection represents years of careful curation and professional standards.












