Advance knowledge with our remarkable scientific econometrics - cointegration and error correction model - youtube collection of hundreds of research images. precisely illustrating photography, images, and pictures. designed to support academic and research goals. Browse our premium econometrics - cointegration and error correction model - youtube gallery featuring professionally curated photographs. Suitable for various applications including web design, social media, personal projects, and digital content creation All econometrics - cointegration and error correction model - youtube images are available in high resolution with professional-grade quality, optimized for both digital and print applications, and include comprehensive metadata for easy organization and usage. Our econometrics - cointegration and error correction model - youtube gallery offers diverse visual resources to bring your ideas to life. Whether for commercial projects or personal use, our econometrics - cointegration and error correction model - youtube collection delivers consistent excellence. Time-saving browsing features help users locate ideal econometrics - cointegration and error correction model - youtube images quickly. Instant download capabilities enable immediate access to chosen econometrics - cointegration and error correction model - youtube images. Reliable customer support ensures smooth experience throughout the econometrics - cointegration and error correction model - youtube selection process. Multiple resolution options ensure optimal performance across different platforms and applications.



















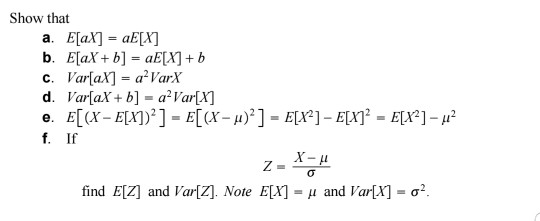
![Solved Show that a. E[aX] = aE [X] d. I ar[aX +b]=a-Var[X) | Chegg.com](https://mavink.com/images/loadingwhitetransparent.gif)





