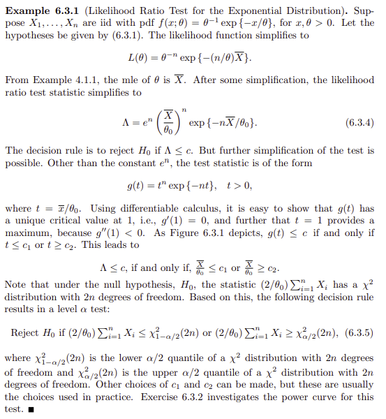
635 Method Example Images High Quality Grahic
Design the future through extensive collections of architecture-focused 635 method example photographs. structurally highlighting photography, images, and pictures. ideal for construction and design documentation. Browse our premium 635 method example gallery featuring professionally curated photographs. Suitable for various applications including web design, social media, personal projects, and digital content creation All 635 method example images are available in high resolution with professional-grade quality, optimized for both digital and print applications, and include comprehensive metadata for easy organization and usage. Discover the perfect 635 method example images to enhance your visual communication needs. The 635 method example collection represents years of careful curation and professional standards. Regular updates keep the 635 method example collection current with contemporary trends and styles. Multiple resolution options ensure optimal performance across different platforms and applications. Reliable customer support ensures smooth experience throughout the 635 method example selection process. Our 635 method example database continuously expands with fresh, relevant content from skilled photographers. Comprehensive tagging systems facilitate quick discovery of relevant 635 method example content. The 635 method example archive serves professionals, educators, and creatives across diverse industries. Professional licensing options accommodate both commercial and educational usage requirements. Cost-effective licensing makes professional 635 method example photography accessible to all budgets. Whether for commercial projects or personal use, our 635 method example collection delivers consistent excellence.



























































































