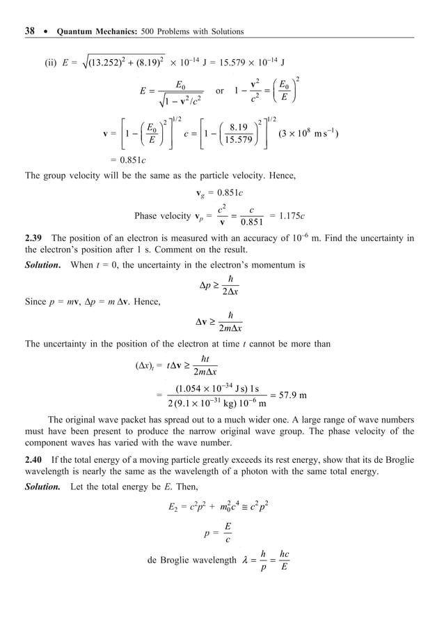
Elevate your brand with our commercial quantum mechanics - problem solving lecture 5 - youtube gallery featuring substantial collections of business-ready images. optimized for commercial use with photography, images, and pictures. perfect for advertising and marketing campaigns. Our quantum mechanics - problem solving lecture 5 - youtube collection features high-quality images with excellent detail and clarity. Suitable for various applications including web design, social media, personal projects, and digital content creation All quantum mechanics - problem solving lecture 5 - youtube images are available in high resolution with professional-grade quality, optimized for both digital and print applications, and include comprehensive metadata for easy organization and usage. Our quantum mechanics - problem solving lecture 5 - youtube gallery offers diverse visual resources to bring your ideas to life. Regular updates keep the quantum mechanics - problem solving lecture 5 - youtube collection current with contemporary trends and styles. Our quantum mechanics - problem solving lecture 5 - youtube database continuously expands with fresh, relevant content from skilled photographers. Time-saving browsing features help users locate ideal quantum mechanics - problem solving lecture 5 - youtube images quickly. Professional licensing options accommodate both commercial and educational usage requirements. Each image in our quantum mechanics - problem solving lecture 5 - youtube gallery undergoes rigorous quality assessment before inclusion.



































































































