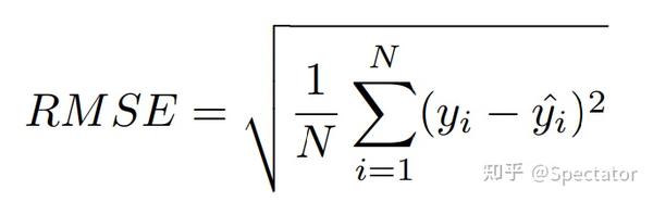
Study the characteristics of root mean square error (rmse) calculator using our comprehensive set of substantial collections of learning images. facilitating comprehension through clear visual examples and detailed documentation. making complex concepts accessible through visual learning. The root mean square error (rmse) calculator collection maintains consistent quality standards across all images. Excellent for educational materials, academic research, teaching resources, and learning activities All root mean square error (rmse) calculator images are available in high resolution with professional-grade quality, optimized for both digital and print applications, and include comprehensive metadata for easy organization and usage. Educators appreciate the pedagogical value of our carefully selected root mean square error (rmse) calculator photographs. Regular updates keep the root mean square error (rmse) calculator collection current with contemporary trends and styles. Our root mean square error (rmse) calculator database continuously expands with fresh, relevant content from skilled photographers. The root mean square error (rmse) calculator archive serves professionals, educators, and creatives across diverse industries. Each image in our root mean square error (rmse) calculator gallery undergoes rigorous quality assessment before inclusion. The root mean square error (rmse) calculator collection represents years of careful curation and professional standards. Professional licensing options accommodate both commercial and educational usage requirements.









































































































