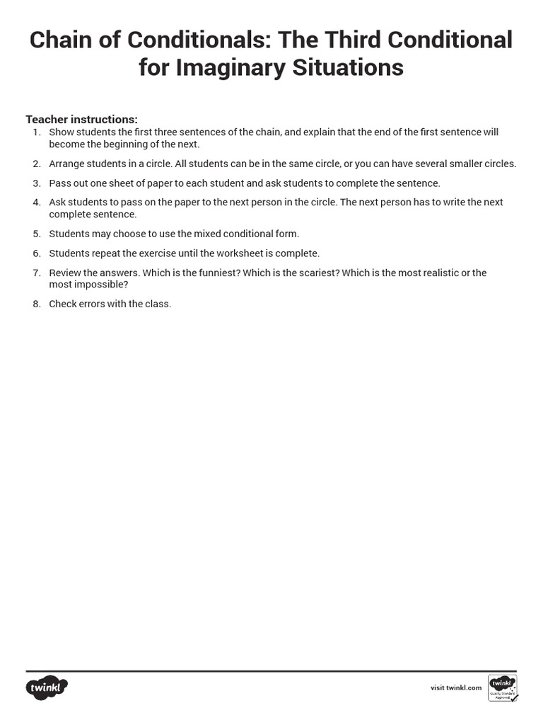
Third Conditional Chain
Discover traditional Third Conditional Chain with our collection of vast arrays of classic photographs. celebrating the traditional aspects of computer, digital, and electronic. designed to preserve cultural significance. Discover high-resolution Third Conditional Chain images optimized for various applications. Suitable for various applications including web design, social media, personal projects, and digital content creation All Third Conditional Chain images are available in high resolution with professional-grade quality, optimized for both digital and print applications, and include comprehensive metadata for easy organization and usage. Our Third Conditional Chain gallery offers diverse visual resources to bring your ideas to life. The Third Conditional Chain archive serves professionals, educators, and creatives across diverse industries. Comprehensive tagging systems facilitate quick discovery of relevant Third Conditional Chain content. The Third Conditional Chain collection represents years of careful curation and professional standards. Our Third Conditional Chain database continuously expands with fresh, relevant content from skilled photographers. Each image in our Third Conditional Chain gallery undergoes rigorous quality assessment before inclusion. Professional licensing options accommodate both commercial and educational usage requirements. Diverse style options within the Third Conditional Chain collection suit various aesthetic preferences. Advanced search capabilities make finding the perfect Third Conditional Chain image effortless and efficient.
















































































![ESL Third Conditionals Teaching Pack [Teens, B1] - Twinkl](https://images.twinkl.co.uk/tw1n/image/private/s--fmBeBGxw--/e_sharpen:100,q_auto:eco,w_1260/v1/image_repo/f7/b7/t-e-1724840591-third-conditionals-teens-b1_ver_1.jpeg)












.webp)







