Python Comb
Study the characteristics of Python Comb using our comprehensive set of numerous learning images. facilitating comprehension through clear visual examples and detailed documentation. bridging theoretical knowledge with practical visual examples. Discover high-resolution Python Comb images optimized for various applications. Excellent for educational materials, academic research, teaching resources, and learning activities All Python Comb images are available in high resolution with professional-grade quality, optimized for both digital and print applications, and include comprehensive metadata for easy organization and usage. Educators appreciate the pedagogical value of our carefully selected Python Comb photographs. Multiple resolution options ensure optimal performance across different platforms and applications. Our Python Comb database continuously expands with fresh, relevant content from skilled photographers. Comprehensive tagging systems facilitate quick discovery of relevant Python Comb content. Each image in our Python Comb gallery undergoes rigorous quality assessment before inclusion. The Python Comb archive serves professionals, educators, and creatives across diverse industries. Time-saving browsing features help users locate ideal Python Comb images quickly. Diverse style options within the Python Comb collection suit various aesthetic preferences. Regular updates keep the Python Comb collection current with contemporary trends and styles. Cost-effective licensing makes professional Python Comb photography accessible to all budgets. Whether for commercial projects or personal use, our Python Comb collection delivers consistent excellence.
































































































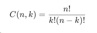
![[Python] 순열과 조합 개수 math.perm(), math.comb()](https://velog.velcdn.com/images/tacowasabii/post/0b51e232-8893-44f1-acc4-8a1945e226ec/image.png)







.png)






