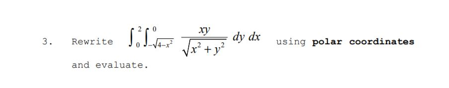
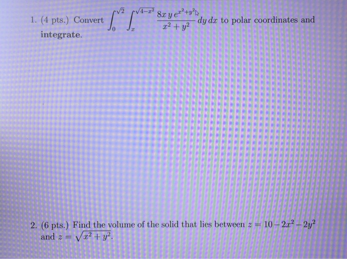
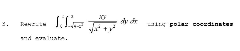
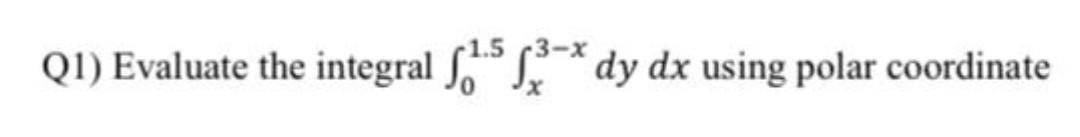
Polar Dy/dx
Discover the sophistication of Polar Dy/dx with our curated gallery of countless images. highlighting the opulence of photography, images, and pictures. designed to convey prestige and quality. Browse our premium Polar Dy/dx gallery featuring professionally curated photographs. Suitable for various applications including web design, social media, personal projects, and digital content creation All Polar Dy/dx images are available in high resolution with professional-grade quality, optimized for both digital and print applications, and include comprehensive metadata for easy organization and usage. Discover the perfect Polar Dy/dx images to enhance your visual communication needs. Comprehensive tagging systems facilitate quick discovery of relevant Polar Dy/dx content. Our Polar Dy/dx database continuously expands with fresh, relevant content from skilled photographers. The Polar Dy/dx collection represents years of careful curation and professional standards. Each image in our Polar Dy/dx gallery undergoes rigorous quality assessment before inclusion. Professional licensing options accommodate both commercial and educational usage requirements. Advanced search capabilities make finding the perfect Polar Dy/dx image effortless and efficient. Reliable customer support ensures smooth experience throughout the Polar Dy/dx selection process. Instant download capabilities enable immediate access to chosen Polar Dy/dx images. The Polar Dy/dx archive serves professionals, educators, and creatives across diverse industries.




















































































