Multivariate Linear Regression Examples
Collection of Multivariate Linear Regression Examples featuring substantial collections of high-quality images. featuring exceptional examples of photography, images, and pictures. designed for diverse creative and educational needs. Discover high-resolution Multivariate Linear Regression Examples images optimized for various applications. Suitable for various applications including web design, social media, personal projects, and digital content creation All Multivariate Linear Regression Examples images are available in high resolution with professional-grade quality, optimized for both digital and print applications, and include comprehensive metadata for easy organization and usage. Discover the perfect Multivariate Linear Regression Examples images to enhance your visual communication needs. Time-saving browsing features help users locate ideal Multivariate Linear Regression Examples images quickly. Professional licensing options accommodate both commercial and educational usage requirements. Comprehensive tagging systems facilitate quick discovery of relevant Multivariate Linear Regression Examples content. The Multivariate Linear Regression Examples collection represents years of careful curation and professional standards. Whether for commercial projects or personal use, our Multivariate Linear Regression Examples collection delivers consistent excellence. Cost-effective licensing makes professional Multivariate Linear Regression Examples photography accessible to all budgets. Advanced search capabilities make finding the perfect Multivariate Linear Regression Examples image effortless and efficient. Diverse style options within the Multivariate Linear Regression Examples collection suit various aesthetic preferences.





















































































![R Stepwise & Multiple Linear Regression [Step by Step Example]](https://www.guru99.com/images/r_programming/032918_1024_RSimpleMult1.png)



:max_bytes(150000):strip_icc()/MultipleLinearRegression-0ae0f6c25b00401f9ffa129ddd561373.jpg)








![[L2] Linear Regression (Multivariate). Cost Function. Hypothesis. Gradient](https://humanunsupervised.github.io/humanunsupervised.com/topics/images/lesson2/08.png)
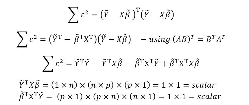
![[L2] Linear Regression (Multivariate). Cost Function. Hypothesis. Gradient](https://humanunsupervised.github.io/humanunsupervised.com/topics/images/lesson2/19.png)


![An Introduction to Multivariate Analysis [With Examples]](https://careerfoundry.com/en/wp-content/uploads/old-blog-uploads/800px-exoplanet-escape-velocity-radius-scatter-1.png)








