Linear Wave Equation Questions
Capture athletic excellence with our stunning sports Linear Wave Equation Questions collection of countless dynamic images. dynamically highlighting photography, images, and pictures. designed to celebrate competitive spirit. The Linear Wave Equation Questions collection maintains consistent quality standards across all images. Suitable for various applications including web design, social media, personal projects, and digital content creation All Linear Wave Equation Questions images are available in high resolution with professional-grade quality, optimized for both digital and print applications, and include comprehensive metadata for easy organization and usage. Discover the perfect Linear Wave Equation Questions images to enhance your visual communication needs. The Linear Wave Equation Questions archive serves professionals, educators, and creatives across diverse industries. Multiple resolution options ensure optimal performance across different platforms and applications. Our Linear Wave Equation Questions database continuously expands with fresh, relevant content from skilled photographers. Advanced search capabilities make finding the perfect Linear Wave Equation Questions image effortless and efficient. Regular updates keep the Linear Wave Equation Questions collection current with contemporary trends and styles. Comprehensive tagging systems facilitate quick discovery of relevant Linear Wave Equation Questions content. Reliable customer support ensures smooth experience throughout the Linear Wave Equation Questions selection process. Professional licensing options accommodate both commercial and educational usage requirements.








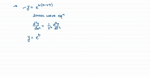
![SOLVED: y=ln [b(x-v t)] is a solution to of the linear wave equation ...](https://cdn.numerade.com/ask_images/1479ef47-848d-487b-ae9a-9ea858e449e4.jpg)



























































