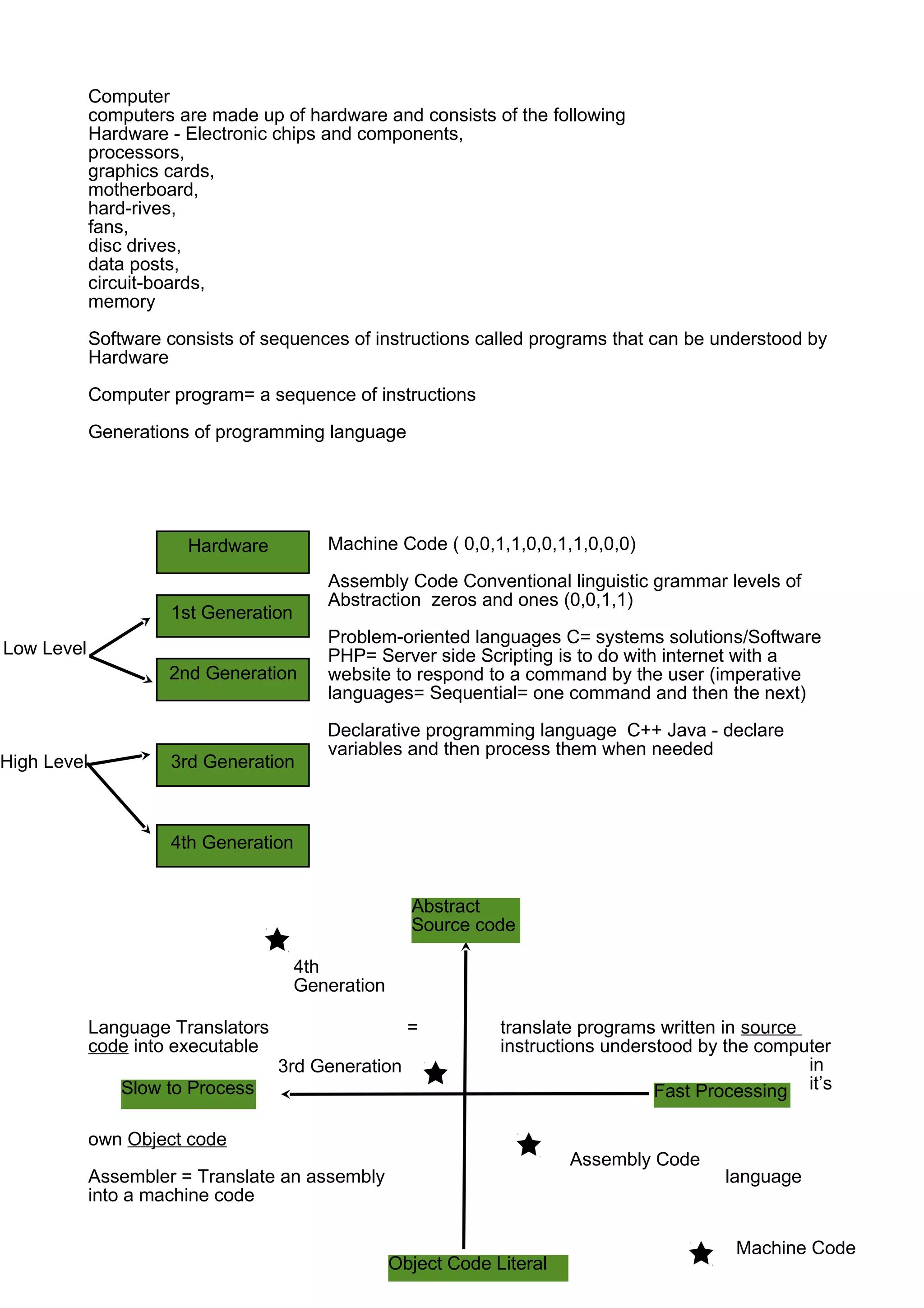
Generations Of Programmng Language
Discover lifestyle inspiration with our Generations Of Programmng Language gallery of countless aspirational images. encouraging positive living via photography, images, and pictures. designed to inspire positive life choices. Our Generations Of Programmng Language collection features high-quality images with excellent detail and clarity. Suitable for various applications including web design, social media, personal projects, and digital content creation All Generations Of Programmng Language images are available in high resolution with professional-grade quality, optimized for both digital and print applications, and include comprehensive metadata for easy organization and usage. Explore the versatility of our Generations Of Programmng Language collection for various creative and professional projects. The Generations Of Programmng Language archive serves professionals, educators, and creatives across diverse industries. Comprehensive tagging systems facilitate quick discovery of relevant Generations Of Programmng Language content. Each image in our Generations Of Programmng Language gallery undergoes rigorous quality assessment before inclusion. Advanced search capabilities make finding the perfect Generations Of Programmng Language image effortless and efficient. Whether for commercial projects or personal use, our Generations Of Programmng Language collection delivers consistent excellence. Our Generations Of Programmng Language database continuously expands with fresh, relevant content from skilled photographers. Instant download capabilities enable immediate access to chosen Generations Of Programmng Language images.






















































![Generations of Programming (Computer) Languages [Hindi] Examples ...](https://i.ytimg.com/vi/f2nGMKieWSU/maxresdefault.jpg)









































