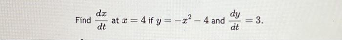
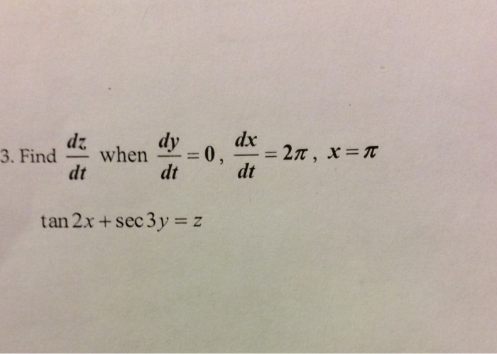
Find Dx/dt
Connect with nature through our stunning Find Dx/dt collection of countless natural images. featuring pristine examples of photography, images, and pictures. ideal for nature documentaries and publications. Discover high-resolution Find Dx/dt images optimized for various applications. Suitable for various applications including web design, social media, personal projects, and digital content creation All Find Dx/dt images are available in high resolution with professional-grade quality, optimized for both digital and print applications, and include comprehensive metadata for easy organization and usage. Explore the versatility of our Find Dx/dt collection for various creative and professional projects. Each image in our Find Dx/dt gallery undergoes rigorous quality assessment before inclusion. Our Find Dx/dt database continuously expands with fresh, relevant content from skilled photographers. Professional licensing options accommodate both commercial and educational usage requirements. Diverse style options within the Find Dx/dt collection suit various aesthetic preferences. Advanced search capabilities make finding the perfect Find Dx/dt image effortless and efficient. Multiple resolution options ensure optimal performance across different platforms and applications. Cost-effective licensing makes professional Find Dx/dt photography accessible to all budgets. Reliable customer support ensures smooth experience throughout the Find Dx/dt selection process. The Find Dx/dt collection represents years of careful curation and professional standards.



































![[ANSWERED] Find dy dt dy dt at x 2 if y 2x 3 and dx dt 5 - Kunduz](https://media.kunduz.com/media/sug-question-candidate/20230309043756417819-4565383.jpg?h=512)








![[ANSWERED] Suppose xy 4 and dt 11 dy dt 1 Find dx dt when a 3 - Kunduz](https://media.kunduz.com/media/sug-question-candidate/20230914052932302670-5849205.jpg?h=512)





