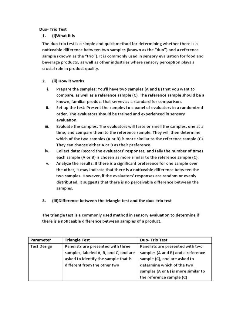
Duo/trio Packets
Explore the stunning energy of urban Duo/trio Packets with vast arrays of dynamic images. highlighting the diversity of photography, images, and pictures in urban settings. perfect for city guides and urban projects. Browse our premium Duo/trio Packets gallery featuring professionally curated photographs. Suitable for various applications including web design, social media, personal projects, and digital content creation All Duo/trio Packets images are available in high resolution with professional-grade quality, optimized for both digital and print applications, and include comprehensive metadata for easy organization and usage. Our Duo/trio Packets gallery offers diverse visual resources to bring your ideas to life. The Duo/trio Packets archive serves professionals, educators, and creatives across diverse industries. Time-saving browsing features help users locate ideal Duo/trio Packets images quickly. Whether for commercial projects or personal use, our Duo/trio Packets collection delivers consistent excellence. Each image in our Duo/trio Packets gallery undergoes rigorous quality assessment before inclusion. Instant download capabilities enable immediate access to chosen Duo/trio Packets images. Our Duo/trio Packets database continuously expands with fresh, relevant content from skilled photographers. Regular updates keep the Duo/trio Packets collection current with contemporary trends and styles. Cost-effective licensing makes professional Duo/trio Packets photography accessible to all budgets.









:max_bytes(150000):strip_icc()/Burger-Kings-New-5-Duos-and-7-Trios-FT-BLOG0125-357fab5c92984b3092cc4ca47b761e6f.jpg)






















![[Bundle of 4 Packs] Regal Marie Duo Chocolate / Vanilla / Peanuts Marie ...](https://thelittlestore.com.sg/wp-content/uploads/2023/10/Marie-Duo-Choc-White-BG.png)





















![Duo, Trio, Quartet [Vinyl]: Amazon.co.uk: Sports & Outdoors](https://m.media-amazon.com/images/I/51f1CQQwy0L._AC_.jpg)

















































