Basic Math Formulas
Drive innovation with our technology Basic Math Formulas gallery of substantial collections of digital images. technologically showcasing photography, images, and pictures. perfect for tech marketing and documentation. Discover high-resolution Basic Math Formulas images optimized for various applications. Suitable for various applications including web design, social media, personal projects, and digital content creation All Basic Math Formulas images are available in high resolution with professional-grade quality, optimized for both digital and print applications, and include comprehensive metadata for easy organization and usage. Our Basic Math Formulas gallery offers diverse visual resources to bring your ideas to life. Comprehensive tagging systems facilitate quick discovery of relevant Basic Math Formulas content. Reliable customer support ensures smooth experience throughout the Basic Math Formulas selection process. Whether for commercial projects or personal use, our Basic Math Formulas collection delivers consistent excellence. Professional licensing options accommodate both commercial and educational usage requirements. Regular updates keep the Basic Math Formulas collection current with contemporary trends and styles. Instant download capabilities enable immediate access to chosen Basic Math Formulas images. Each image in our Basic Math Formulas gallery undergoes rigorous quality assessment before inclusion. The Basic Math Formulas archive serves professionals, educators, and creatives across diverse industries. Cost-effective licensing makes professional Basic Math Formulas photography accessible to all budgets.






















.png)

























![6+ Math Formulas Template PDF, Word [Editable & Print]](https://i0.wp.com/templatediy.com/wp-content/uploads/2023/02/Basic-Math-Formulas-Chart-in-PDF-Word.jpg?w=1080&ssl=1)


























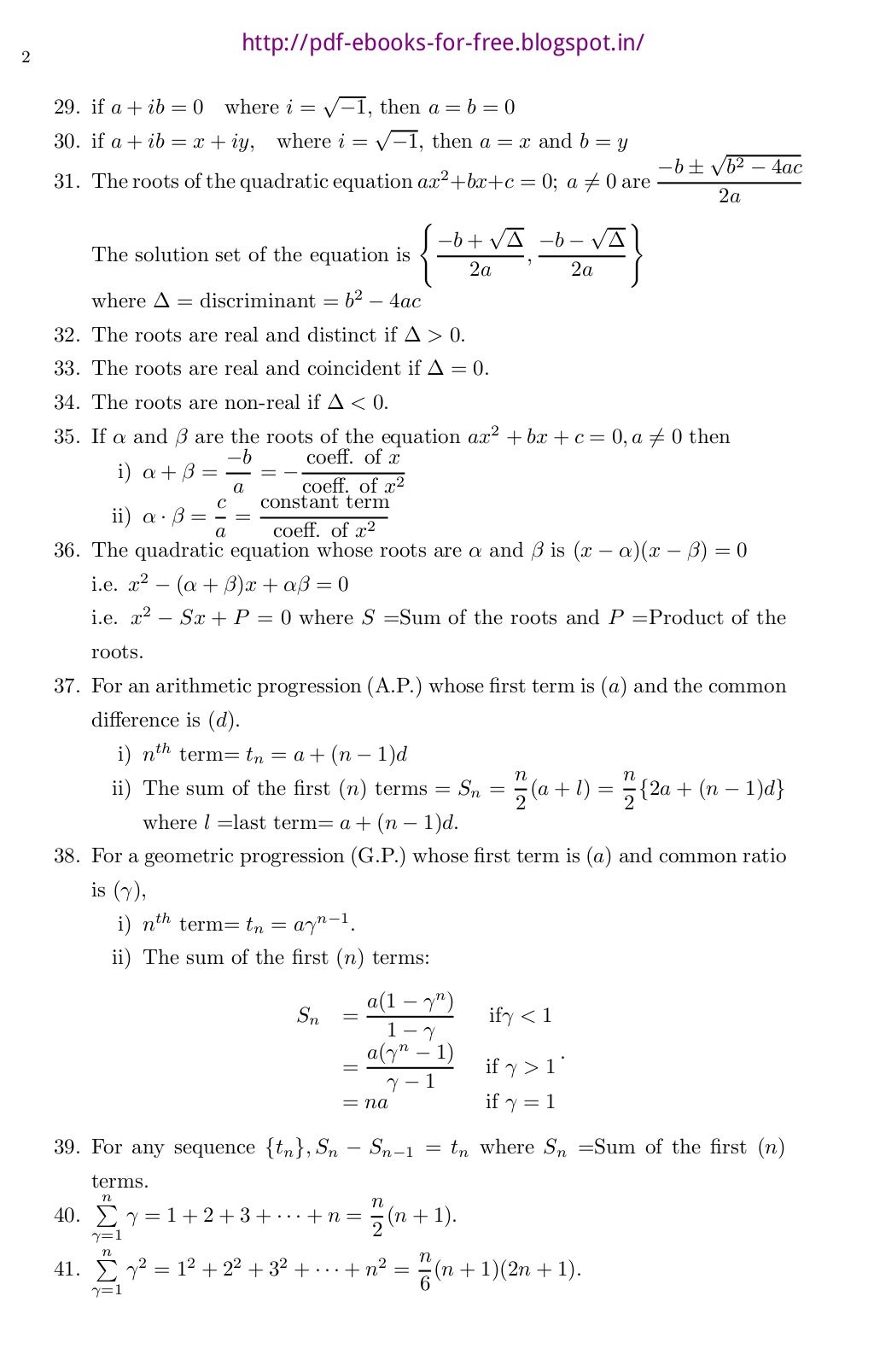
![All Math Formulas For Class 10 [ Most Important ]](https://s3-ap-south-1.amazonaws.com/adda247jobs-wp-assets-adda247/jobs/wp-content/uploads/sites/2/2023/02/21124410/Important-Math-Formulas-for-Class-10.jpg)


























