Advanced Engineering Mathematics 10th Edition
Explore the charm of vintage Advanced Engineering Mathematics 10th Edition through extensive collections of classic photographs. showcasing the classic style of truck, vehicle, and automobile. ideal for nostalgic and classic themes. The Advanced Engineering Mathematics 10th Edition collection maintains consistent quality standards across all images. Suitable for various applications including web design, social media, personal projects, and digital content creation All Advanced Engineering Mathematics 10th Edition images are available in high resolution with professional-grade quality, optimized for both digital and print applications, and include comprehensive metadata for easy organization and usage. Our Advanced Engineering Mathematics 10th Edition gallery offers diverse visual resources to bring your ideas to life. The Advanced Engineering Mathematics 10th Edition collection represents years of careful curation and professional standards. Time-saving browsing features help users locate ideal Advanced Engineering Mathematics 10th Edition images quickly. Instant download capabilities enable immediate access to chosen Advanced Engineering Mathematics 10th Edition images. Cost-effective licensing makes professional Advanced Engineering Mathematics 10th Edition photography accessible to all budgets. Our Advanced Engineering Mathematics 10th Edition database continuously expands with fresh, relevant content from skilled photographers. Comprehensive tagging systems facilitate quick discovery of relevant Advanced Engineering Mathematics 10th Edition content. Reliable customer support ensures smooth experience throughout the Advanced Engineering Mathematics 10th Edition selection process.




































































![Problem 1.3 [1-32] Advanced Engineering Mathematics Kreyszig 10th ...](https://i.ytimg.com/vi/pTQu_nCOcy4/maxresdefault.jpg)




















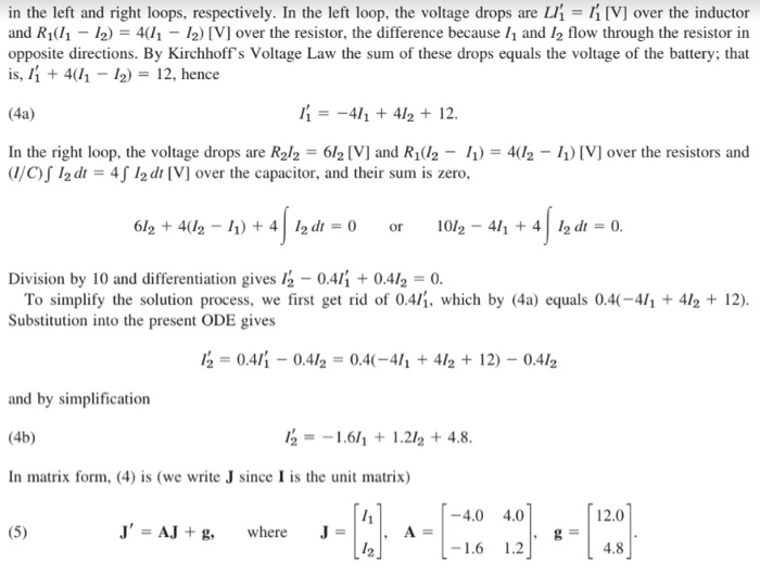
![알라딘: [중고] Advanced Engineering Mathematics (10th Edition, Paperback)](https://image.aladin.co.kr/product/23622/10/letslook/scm4138468913725.jpg)





